The Changing Landscape of Hematological
Malignancy Treatment


Implications for antifungal therapy



Russell E. Lewis, Pharm.D., FCCP
Associate Professor of Medicine, Infectious Diseases
Department of Molecular Medicine, University of Padua




russelledward.lewis@unipd.it
https://github.com/Russlewisbo

Disclosures


  • Research funding: Merck & Co Inc., Gilead Sciences
  • Speaking: Avir, Gilead
  • Consultancy: F2G, Scynexis, Basilea, Gilead Sciences, Cidara Therapeutics

The cure of leukemia through the optimist’s prism


Disease Current/
Future therapies*
Survival
(5 year)
Hairy cell leukemia Clofarabine + gemtuzumab ozogamicin (GO) 90%
Acute premyelocytic leukemia ATRA + arsenic ± GO 80-90%
AML
(core binding factor positive)
FLAG-GO ± IDA, alloHSCT if MRD positive, if indicated, oral AZA/HMA with venetoclax or FLT3/IDH or menin inhibitors 80-90%+
AML
(younger fit)
FLAG-IDA and venetoclax, CLIA and venetoclax 50-60%
AML
(older, unfit, complex karyotype, T-53 mutations, MECOM)
Low-intensity triple nucleosides (cladarabine, cytarabine and HMAs + venetoclax; HMAs + venetoclax + targeted therapy 40-50%
ALL < 60 years HyperCVAD + CD19/CD20 targeted antibodies 60-70%
ALL > 60 years Mini-hyper CVAD+ inotuzumab; blinatumab + ponatinib 50%
Ph-positive ALL HyperCVAD + ponatinib; blinatumab + ponatinib 70-80%?

The cure of leukemia through the optimist’s prism


Disease Current/ future therapy* Survival
(5 year)
CML BCR-Abl1 tyrosine kinase inhibitors (imatinib, dasatinib, bosutinib, nilotunib, ponatinib), alloHSCT 85-90%
CLL Ibrutinib, other BTKIs (acalabrutinib, zanubrutinib, pirtobrutinib) 80-90% +
MDS Parenteral HMAs, oral HMAs, venetoclax, others 40% +

Advances in allogeneic HSCT


  • Improvements in HLA typing and matching
  • Expanded donor pools
  • GVHD prophylaxis and treatment (cyclophosphamide, JAK inhibitors)
  • Refinement of reduced-intensity regimens
  • Improved supportive care (antifungal and CMV prophylaxis)
  • Cellular therapies for relapse prevention and treatment (DLI, CAR-T)
  • Molecular and genomic monitoring for MRD detection
  • Personalized medicine (targeted therapies)

Infectious complications after haploidentical HSCT with post-transplant cyclophosphamide

How are newer targeted therapies…



  • Changing the epidemiology of invasive fungal diseases?
  • Changing the risk of drug interactions and toxicity with antifungal therapy?
  • Is there a unique role for isavuconazole?

Immune sequela of targeted therapies

Unexpected consequences?


Ibrutinib-associated aspergillosis




  • Retrospective French surveillance study identified 33 cases of aspergillosis in ibrutinib-treated patients with CLL
  • CNS aspergillosis in 11/27 (40%), most cases within 3 months of starting therapy
  • All patients had refractory/relapsed CLL and other predisposing risk factors

Fungal infections in patients receiving
ibrutinib for lymphoid cancers

Data from MSKCC, New York



  • In a second, retrospective study from MDACC (2014-2018):
    • 21 (2.5%) with proven/probable invasive mold infection
    • Primarily pneumonia
    • Mostly Aspergillus spp.
    • Risk factors: monocytopenia, ≥ 3 prior CLL therapies

BTK drives neutrophil activation for sterilizing antifungal immunity


  • After phagocytosis of A. fumgatus by macrophages, BTK activates calcineurin-NFAT pathways and potentiates TNF-α signalling →
    • Impaired chemokine response and neutrophil recruitment
  • Aberrant innate immune response via TREM-1 signalling pathways→ decreased respiratory burst
  • Ibrutinib also inhibits platelet activation, granule secretion, and platelet-mediated damage of Aspergillus

Novel targeted agents-Risk of fungal infections

Guideline recommendations

Managing fungal infection risks with
novel therapies for AML

EHA consensus recommendations


  • Systematic review of the literature, recommendations developed using GRADE framework (4977 publications evaluated)
  • Outcomes evaluated:
    • Incidence of invasive fungal disease (IFD)
    • Prolongation of hospitalization
    • Days spent in ICU/mortality associated with IFD
    • Potential DDIs
  • Evidence-based recommendations were developed for hypomethylating agents (HMAs), FLT-3 inhibitors, and venetoclax-HMA combinations

Summary of EHA recommendations-1


  • Hypomethylating agent monotherapy:
    • Standard use or prophylaxis not recommended
    • Risk of IFI increased in patients with neutropenia at onset of treatment, prior intensive chemotherapy → conditional recommendation for prophylaxis
  • FLT3 inhibitors (midostaurin, gilteritinib)
    • Antifungal prophylaxis recommended during induction chemotherapy
    • Conditional recommendation for prophylaxis during consolidation in patients with risk factors (prior IFI, prolonged neutropenia)
    • Lack of clear medical guidance for managing drug interactions
    • Close monitoring favoured over empiric FLT-3 inhibitor dose reduction

Summary of EHA recommendations-2


  • Venetoclax
    • Risk of IFI increased in patients with neutropenia at onset of treatment, prior intensive chemotherapy, or prolonged neutropenia with venetoclax
    • Conditional recommendation to administer prophylaxis
    • Careful management of drug interactions with triazoles

Venetoclax dose-adjustment with triazoles


Venetoclax + hypomethylating agents for AML;

Co-administration with posaconazole ↑ venetoclax AUC 8-fold


Day Full dose Moderate CYP3A4 inhibitor1 Strong CYP3A4 inhibitor2
Day 1 100 mg 50 mg 10 mg
Day 2 200 mg 100 mg 20 mg
Day 3 400 mg 200 mg 50 mg
Day 4-28 400 mg 200 mg 70 mg


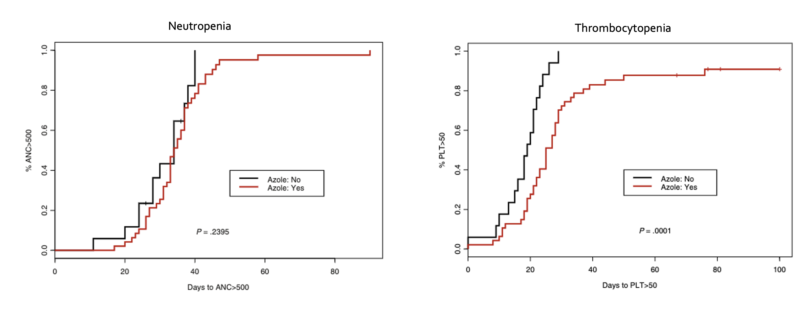
Triazole prophylaxis increases duration of thrombocytopenia but not neutropenia or infections with dose-adjusted venetoclax


CYP450 Interactions: The achilles heel of triazoles

75-85% of patients receiving mold-active triazoles have serious drug interactions


PK/PD Properties of Small Molecule Kinase Inhibitors



Drug Venetoclax Midostraurin Gilteritinib Ivosidenib Enasidinib Glasdegib
Specificity (targets) BCL2 FLT3 FLT3 IDH1 IDH2 Hedgehog pathway
Hepatic CYP3A4 CYP3A4 CYP3A4/5 CYP3A4/5 Multiple CYP enzymes including CYP3A4 CYP3A4/5
Efflux Substrate of PgP, BCRP Not a substrate Substrate of PgP, not BCRP, OATP Substrate PgP, but not BRCP Not a substrate of BCRP pr PgP Substrate for PGP, BCRP

Toxicities of small-molecule kinase inhibitors

Just avoid triazoles?







Is their a unique role for isavuconazole
vs. other triazoles?

Strong opinions about voriconazole

Pharmacokinetic complexity of voriconazole


Triazole toxicities



Triazole safety


  • Multicenter registry of prophylaxis (n=1777) and treatment (n=816) courses
  • Adverse effects leading to treatment discontinuation:
    • voriconazole (n=494) 14.2%
    • posaconazole (n=547) 11.3%
    • isavuconazole (n=514) 3.9%
    • multiple/sequenced therapy (n=454) 11.7%
  • QTc prolongation was rare, but more frequent with voriconazole and posaconazole
  • Severe drug interactions occurred in 4% of all treated patients
  • IFI mortality rates were similar for all agents ranging between 1.1-1.8%

What makes isavuconazole
(isavuconazonium) unique?



  • Broad spectrum of activity
  • Prodrug IV/ oral formulations (> 90% bioav.)
  • Predictable linear PK, t1/2=130h
  • Less need for TDM
  • Better safety profile than voriconazole
    • Less potent CYP3A4/5 inhibition
    • Less cutaneous, CNS, hepatic toxicities
    • Does not prolong QT

QT prolongation risk with triazoles




  • Older triazoles inhibit human ether-a-go-go (hERG) channel, which underlies rapid K+ rectifier current
  • Isavuconazole shortens cardiac QT in a dose-related manner, with no associated cardiac risk
    • hCav1.2 L-type Ca++ channels
  • Recent analysis of FDA ERS databases confirmed lowest risk of cardiac side effects with isavuconazole

Isavuconazole versus voriconazole for primary treatment of invasive mould disease caused by Aspergillus and other filamentous fungi (SECURE)


Treatment-emergent adverse effects
in the SECURE trial


  • Overall drug-related AE (VOR-60% vs. ISA-42%, p<0.001)
    • Hepatobiliary disorders (VOR-16% vs. ISA-9%, p=0.016)

    • Visual disturbances (VOR-27% vs. ISA-15%, p=0.002)

    • Skin or subcutaneous tissue (VOR-42% vs. ISA-33%, p=0.037)

Isavuconazole treatment for mucormycosis:
a single-arm, open-label, case-control study (VITAL)

Isavuconazole drug interaction potential in HSCT


Drug Pharmacokinetic change Initial management
Tacrolimus

↑ AUC 1.8-3xfold

↑ Cmax 1.4-2.8xfold

40-50% reduction in tacrolimus dose, TDM.
Some case series suggest no empiric dose reduction was required
Prednisone or Prednisolone ↑ AUC (8%) minimal No dose adjustments recommended
Ruxolitinib ↑AUC and Cmax by an average of 27% and 8% Although dose reduction is recommended for strong CYP3A4 inhibitors, no dose reduction recommended with moderate inhibitors such as isavuconazole

Isavuconazole drug interaction potential


Drug Pharmacokinetic change Initial management
Venetoclax ↑AUC 2-3.9xfold Dose reduction of venetoclax by 50%
Midostaurin ↑AUC 1.44xfold higher Avoid strong CYP3A4 inhibitors, no dose reduction recommended for moderate CYP3A4 inhibitors
Gilteritinib

↑AUC 1.4xfold;

↑Cmax 1.2-fold higher

Avoid strong CYP3A4 inhibitors, no dose reduction recommended for moderate CYP3A4 inhibitors

Does TDM support claims of less potent
CYP3A4 inhibition?

Antifungal prophylaxis in the targeted therapy era

Study design

Demographics

Breakthrough infections

Isavuconazole tolerability



  • Posaconazole experience
    (previous study with tablet/IV)
    • Grade III/IV liver injury with tablet and IV formulations (9%)

    • Primarily presenting with hyperbilirubinemia

    • Higher frequency in patients with POS serum levels > 1,830 ng/mL

  • Isavuconazole
    • Grade 1 transaminitis (2.7%)

    • Grade 2 elevated T. bilirubin (1.3%)

    • No QTc elevation vs. baseline at 10 days

“Isavuconazole was well tolerated and facilitated use of the most potent molecular-targeted agents in remission-induction chemotherapy with excellent short term survival and high remission rates.”



(Young, 2021)

Jo-Anne H. Young, Clin Infect Dis 2021



“This is the first antifungal prophylaxis study in this select population of patients with leukemia, specifically, those patients being treated with the BCL-2 antagonist venetoclax and fms3-like tyrosine kinase 3 (FLT3) inhibitors.


“Clinicians should take away from these studies the fact that many of the advanced-generation azoles can be used interchangeably in times of prophylaxis when they are needed.”

Summary


  • Knowledge of fungal infection risk with targeted therapy is evolving, and depends heavily on the individual patient treatment scenario

  • Many small molecule inhibitors are metabolised by CYP3A4/5 and have potential for QTc prolongation, making concurrent use with broad-spectrum triazoles difficult

  • Isavuconazole has several unique pharmacokinetic and safety advantages over older triazoles, making it an useful alternative in patients receiving targeted therapies

Treviso, Italy


References


All figures created by R. Lewis using www.biorender.com

Amandine Fayard, Fayard A, Berthelot P, Élisabeth Daguenet, Daguenet E, Didier Blaise, et al. Evaluation of infectious complications after haploidentical hematopoietic stem cell transplantation with post-transplant cyclophosphamide following reduced-intensity and myeloablative conditioning: A study on behalf of the francophone society of stem cell transplantation and cellular therapy (SFGM-TC). Bone Marrow Transplantation 2019;54:1586–94. https://doi.org/10.1038/s41409-019-0475-7.
Andes D, Azie N, Yang H, Harrington R, Kelley C, Tan R-D, et al. Drug-Drug Interaction Associated with Mold-Active Triazoles among Hospitalized Patients. Antimicrobial Agents and Chemotherapy 2016;60:3398–406. https://doi.org/10.1128/AAC.00054-16.
Bhatnagar S, Mukherjee D, Salem AH, Miles D, Menon RM, Gibbs JP. Dose adjustment of venetoclax when co-administered with posaconazole: Clinical drug-drug interaction predictions using a PBPK approach. Cancer Chemotherapy and Pharmacology 2021;87:465–74. https://doi.org/10.1007/s00280-020-04179-w.
Bose P, McCue D, Wurster S, Wiederhold NP, Konopleva M, Kadia TM, et al. Isavuconazole as Primary Anti-Fungal Prophylaxis in Patients with Acute Myeloid Leukemia or Myelodysplastic Syndrome: An Open-Label, Prospective, Phase II Study. Clinical Infectious Diseases: An Official Publication of the Infectious Diseases Society of America 2020. https://doi.org/10.1093/cid/ciaa358.
Brüggemann RJM, Alffenaar J-WC, Blijlevens NMA, Billaud EM, Kosterink JGW, Verweij PE, et al. Clinical Relevance of the Pharmacokinetic Interactions of Azole Antifungal Drugs with Other Coadministered Agents. Clinical Infectious Diseases 2009;48:1441–58. https://doi.org/10.1086/598327.
Brüggemann RJ, Verheggen R, Boerrigter E, Stanzani M, Verweij PE, Blijlevens NMA, et al. Management of drugdrug interactions of targeted therapies for haematological malignancies and triazole antifungal drugs. The Lancet Haematology 2022;9:e58–72. https://doi.org/10.1016/S2352-3026(21)00232-5.
Burger JA, Tedeschi A, Barr PM, Robak T, Owen C, Ghia P, et al. Ibrutinib as Initial Therapy for Patients with Chronic Lymphocytic Leukemia. The New England Journal of Medicine 2015;373:2425–37. https://doi.org/10.1056/NEJMoa1509388.
Chamilos G, Lionakis MS, Kontoyiannis DP. Call for Action: Invasive Fungal Infections Associated With Ibrutinib and Other Small Molecule Kinase Inhibitors Targeting Immune Signaling Pathways. Clinical Infectious Diseases: An Official Publication of the Infectious Diseases Society of America 2018;66:140–8. https://doi.org/10.1093/cid/cix687.
Chen J, Xu S, Yu W, Sun C, Zhang W. Evaluating cardiac disorders associated with triazole antifungal agents based on the US Food and Drug Administration Adverse Event reporting system database. Frontiers in Pharmacology 2024;15:1255918. https://doi.org/10.3389/fphar.2024.1255918.
Desai JV, Zarakas MA, Wishart AL, Roschewski M, Aufiero MA, Donkó Á, et al. BTK drives neutrophil activation for sterilizing antifungal immunity. The Journal of Clinical Investigation 2024. https://doi.org/10.1172/JCI176142.
Frei M, Aitken SL, Jain N, Thompson P, Wierda W, Kontoyiannis DP, et al. Incidence and characterization of fungal infections in chronic lymphocytic leukemia patients receiving ibrutinib. Leukemia & Lymphoma 2020;61:2488–91. https://doi.org/10.1080/10428194.2020.1775215.
Ghez D, Calleja A, Protin C, Baron M, Ledoux M-P, Damaj G, et al. Early-onset invasive aspergillosis and other fungal infections in patients treated with ibrutinib. Blood 2018;131:1955–9. https://doi.org/10.1182/blood-2017-11-818286.
Gomes MZR, Jiang Y, Mulanovich VE, Lewis RE, Kontoyiannis DP. Effectiveness of primary anti-Aspergillus prophylaxis during remission induction chemotherapy of acute myeloid leukemia. Antimicrobial Agents and Chemotherapy 2014;58:2775–80. https://doi.org/10.1128/AAC.01527-13.
Groll AH, Desai A, Han D, Howieson… - … in drug development C, 2017. Pharmacokinetic assessment of drug-drug interactions of isavuconazole with the immunosuppressants cyclosporine, mycophenolic acid, prednisolone …. Wiley Online Library 2017.
Herbst S, Shah A, Mazon Moya M, Marzola V, Jensen B, Reed A, et al. Phagocytosis-dependent activation of a TLR9BTKcalcineurinNFAT pathway co-ordinates innate immunity to aspergillus fumigatus. EMBO Molecular Medicine 2015;7:240–58. https://doi.org/10.15252/emmm.201404556.
Johnson MD. Antifungals in Clinical Use and the Pipeline. Infectious Disease Clinics of North America 2021;35:341–71. https://doi.org/10.1016/j.idc.2021.03.005.
Kantarjian HM, Jain N, Garcia-Manero G, Welch MA, Ravandi F, Wierda WG, et al. The cure of leukemia through the optimist’s prism. Cancer 2022;128:240–59. https://doi.org/10.1002/cncr.33933.
Kantarjian H, Short NJ, DiNardo C, Stein EM, Daver N, Perl AE, et al. Harnessing the benefits of available targeted therapies in acute myeloid leukaemia. The Lancet Haematology 2021;8:e922–33. https://doi.org/10.1016/S2352-3026(21)00270-2.
Keirns J, Desai A, Kowalski D, Lademacher C, Mujais S, Parker B, et al. QT Interval Shortening With Isavuconazole: In Vitro and In Vivo Effects on Cardiac Repolarization. Clinical Pharmacology and Therapeutics 2017;101:782–90. https://doi.org/10.1002/cpt.620.
Kieu V, Jhangiani K, Dadwal S, Nakamura R, Pon D. Effect of isavuconazole on tacrolimus and sirolimus serum concentrations in allogeneic hematopoietic stem cell transplant patients: A drug-drug interaction study. Transplant Infectious Disease: An Official Journal of the Transplantation Society 2019;21:e13007. https://doi.org/10.1111/tid.13007.
Kufel WD, Armistead PM, Daniels LM, Ptachcinski JR, Alexander MD, Shaw JR. Drug-Drug Interaction Between Isavuconazole and Tacrolimus: Is Empiric Dose Adjustment Necessary? Journal of Pharmacy Practice 2018:897190018790688. https://doi.org/10.1177/0897190018790688.
Lewis RE. Current concepts in antifungal pharmacology. Mayo Clinic Proceedings 2011;86:805–17. https://doi.org/10.4065/mcp.2011.0247.
Little JS, Weiss ZF, Hammond SP. Invasive fungal infections and targeted therapies in hematological malignancies. Journal of Fungi 2021;7:1058. https://doi.org/10.3390/jof7121058.
Maertens JA, Raad II, Marr KA, Patterson TF, Kontoyiannis DP, Cornely OA, et al. Isavuconazole versus voriconazole for primary treatment of invasive mould disease caused by Aspergillus and other filamentous fungi (SECURE): A phase 3, randomised-controlled, non-inferiority trial. The Lancet 2016;387:760–9. https://doi.org/10.1016/S0140-6736(15)01159-9.
Marty FM, Perfect JR, Cornely OA, Mullane K, Rahav G, Lee M, et al. An open-label phase 3 study of isavuconazole (VITAL): Focus on mucormycosis. Risk 2014;8:21–6.
Megías-Vericat JE, Solana-Altabella A, Ballesta-López O, Martínez-Cuadrón D, Montesinos P. Drug-drug interactions of newly approved small molecule inhibitors for acute myeloid leukemia. Annals of Hematology 2020;99:1989–2007. https://doi.org/10.1007/s00277-020-04186-0.
Menna P, Salvatorelli E, Del Principe MI, Perrone S, Pagano L, Marchesi F, et al. Choosing antifungals for the Midostaurin-Treated patient: Does CYP3A4 outweigh recommendations? A brief insight from real life. Chemotherapy 2021;66:47–52. https://doi.org/10.1159/000513989.
Ostrosky-Zeichner L, Nguyen MH, Bubalo J, Alexander BD, Miceli MH, Pappas PG, et al. Multicenter Registry of Patients Receiving Systemic Mold-Active Triazoles for the Management of Invasive Fungal Infections. Infectious Diseases and Therapy 2022. https://doi.org/10.1007/s40121-022-00661-5.
Ouatas T, Duval V, Sinclair K, Berkowitz N. Concomitant Use of Midostaurin with Strong CYP3A4 Inhibitors: An Analysis from the Ratify Trial. Blood 2017;130:3814–4. https://doi.org/10.1182/blood.V130.Suppl_1.3814.3814.
Palmucci JR, Messina JA, Tenor JL, Perfect JR. New anticancer therapeutics impact fungal pathobiology, infection dynamics, and outcome. PLOS Pathogens 2023;19:e1011845. https://doi.org/10.1371/journal.ppat.1011845.
Penack O, Peczynski C, Mohty M, Yakoub-Agha I, Styczynski J, Montoto S, et al. How much has allogeneic stem cell transplant related mortality improved since the 1980s? A retrospective analysis from the EBMT. Blood Advances 2020;4:6283–90. https://doi.org/10.1182/bloodadvances.2020003418.
Rausch CR, DiNardo CD, Maiti A, Jammal N, Kadia TM, Marx K, et al. Venetoclax dosing in combination with antifungal agents: Real world experience in patients with acute myeloid leukemia. Blood 2019;134:2640–0. https://doi.org/10.1182/blood-2019-131988.
Stemler J, de Jonge N, Skoetz N, Sinkó J, Brüggemann RJ, Busca A, et al. Antifungal prophylaxis in adult patients with acute myeloid leukaemia treated with novel targeted therapies: A systematic review and expert consensus recommendation from the European Hematology Association. The Lancet Haematology 2022;9:e361–73. https://doi.org/10.1016/S2352-3026(22)00073-4.
Trifilio S, Mehta J. Antimicrobial prophylaxis in hematopoietic stem cell transplantation recipients: 10 years after. Transplant Infectious Disease: An Official Journal of the Transplantation Society 2014;16:548–55. https://doi.org/10.1111/tid.12237.
Tverdek FP, Heo ST, Aitken SL, Granwehr B, Kontoyiannis DP. Real-Life assessment of the safety and effectiveness of the new tablet and intravenous formulations of posaconazole in the prophylaxis of invasive fungal infections via analysis of 343 courses. Antimicrobial Agents and Chemotherapy 2017;61. https://doi.org/10.1128/AAC.00188-17.
Varughese T, Taur Y, Cohen N, Palomba ML, Seo SK, Hohl TM, et al. Serious Infections in Patients Receiving Ibrutinib for Treatment of Lymphoid Cancer. Clinical Infectious Diseases: An Official Publication of the Infectious Diseases Society of America 2018;67:687–92. https://doi.org/10.1093/cid/ciy175.
Wang ES, Baron J. Management of toxicities associated with targeted therapies for acute myeloid leukemia: When to push through and when to stop. Hematology / the Education Program of the American Society of Hematology American Society of Hematology Education Program 2020;2020:57–66. https://doi.org/10.1182/hematology.2020000089.
Young J-AH. Both Small Ball and Big inning” teams are progressing the value of antifungal prophylaxis among patients with hematologic malignancy. Clinical Infectious Diseases: An Official Publication of the Infectious Diseases Society of America 2021;72:1764–6. https://doi.org/10.1093/cid/ciaa569.