2026-04-14
Russell E. Lewis
Associate Professor of Infectious Diseases
Department of Molecular Medicine
University of Padua

russelledward.lewis@unipd.it
https://github.com/Russlewisbo
Slides and course materials: www.padovaid.com
By the end of this lecture, you should be able to:
| Year | Milestone |
|---|---|
| 1928 | Fleming discovers penicillin |
| 1929 | Fleming publishes findings |
| 1940 | Florey & Chain purify penicillin |
| 1941 | First human treated |
| 1943 | Mass production begins |
| 1945 | Nobel Prize awarded |
Important
No β-lactam ring = No antibacterial activity
| Ambler Class | Major Subtype | Preferred Substrates | Inhibitor | Genetic Localization | Representative Enzymes |
|---|---|---|---|---|---|
| A | Gram-positive β-lactamase 2a | Penicillins | Clavulanic acid | Chromosome or plasmid | PC1 |
| A | Gram-negative β-lactamase 2b | Penicillins, 1st-gen cephalosporins | Clavulanic acid | Plasmid or chromosomal | TEM-1, SHV-1 |
| A | Extended-spectrum β-lactamase 2be | Penicillins, extended-spectrum cephalosporins, aztreonam | Clavulanic acid | Plasmid | TEM-24, SHV-12, CTX-M-15 |
| A | Inhibitor-resistant TEM β-lactamase 2br | Penicillins | Clavulanic acidc | Plasmid | TEM-30, SHV-10 |
| A | Carbenicillin-hydrolyzing β-lactamase 2c | Carbenicillin | Clavulanic acidc | Plasmid | PSE-1, CARB-3 |
| A | Cephalosporin-hydrolyzing β-lactamase 2e | Extended-spectrum cephalosporins | Clavulanic acid | Chromosome | CepA |
| A | Carbapenem-hydrolyzing β-lactamase 2f | Carbapenems | Avibactam, Relebactam, Vaborbactam | Chromosome or plasmid | KPC-2, SME-1 |
| B | Metallo-β-lactamase 3a | All β-lactams except monobactam | EDTA, divalent cation chelators | Chromosome or plasmid | IMP-1, VIM-2, NDM-1 |
| C | AmpC-type β-lactamase | Cephalosporins | Cloxacillin, avibactam, relebactam, vaborbactam | Chromosome or plasmid | AmpC, CMY-2 |
The side chain modifications determine:
| Class | Size | Function |
|---|---|---|
| High-MW Class A | >50 kDa | Bifunctional: transglycosylase + transpeptidase |
| High-MW Class B | >50 kDa | Transpeptidase only |
| Low-MW | <50 kDa | Carboxypeptidases |
| PBP | Function | Inhibition result |
|---|---|---|
| PBP1a/1b | Transglycosylase + transpeptidase | Rapid cell lysis |
| PBP2 | Cell elongation, rod shape | Round cells (cocci) |
| PBP3 | Septum formation, cell division | Long filaments |
| PBP4-6 | Carboxypeptidases | Minor effects |
PBPs (Cell Wall Synthesis)
β-Lactamases (Resistance)
Tip
Tolerance explains why some infections relapse despite “susceptible” organisms
Warning
Multiple mechanisms often coexist, especially in MDR gram-negatives
| Class | Active Site | Mechanism | Examples |
|---|---|---|---|
| A | Serine | Acyl intermediate | TEM, SHV, CTX-M, KPC |
| B | Zinc (metallo) | Direct hydrolysis | NDM, VIM, IMP |
| C | Serine | Acyl intermediate | AmpC, CMY |
| D | Serine | Acyl intermediate | OXA enzymes |
Warning
Clinical outcomes with BLI combinations may be unpredictable for serious ESBL infections
Important
The “aztreonam loophole” — MBLs cannot hydrolyze monobactams
Cephalosporinases — preferentially hydrolyze cephalosporins
Often chromosomally encoded
Can be inducible (expressed when exposed to β-lactams)
Classic “SPACE” organisms: Serratia, Pseudomonas, Acinetobacter, Citrobacter, Enterobacter
Revised “HECK-YES” organisms: Hafnia, Enterobacter, Citrobacter (freundii complex), Klebsiella (aerogenes), Yersinia, Enterobacter, Serratia
NOT inhibited by clavulanic acid
Inhibited by avibactam, relebactam, vaborbactam
| Enzyme | Class | Distribution | Inhibitors |
|---|---|---|---|
| KPC | A | Americas, worldwide | Avibactam, vaborbactam, relebactam |
| NDM | B | South Asia, global | None currently approved |
| VIM | B | Europe, global | None currently pproved |
| OXA-48 | D | Middle East, Europe | Avibactam |
Important
MRSA resistance is NOT due to β-lactamases — it’s due to PBP2a
Excellent activity:
| Infection | Drug of Choice |
|---|---|
| Group A strep pharyngitis | Penicillin V |
| Syphilis (all stages) | Penicillin G |
| Neurosyphilis | IV Penicillin G |
| Meningococcal meningitis | Penicillin G |
| Actinomycosis | Penicillin G |
| Gas gangrene (C. perfringens) | Penicillin G |
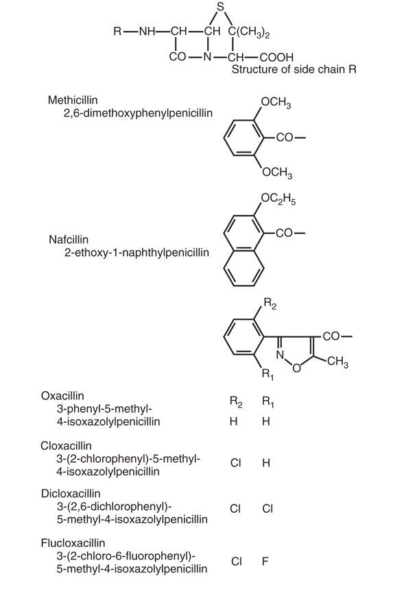
Nafcillin, Oxacillin, Dicloxacillin, Flucloxacillin
| Drug | Route | Protein Binding | Elimination | Special Considerations |
|---|---|---|---|---|
| Nafcillin | IV | 90% | Hepatic | Hypokalemia, phlebitis |
| Oxacillin | IV | 90% | Mixed | Hepatotoxicity |
| Dicloxacillin | PO | 96% | Renal/hepatic | Highest protein binding |
| Flucloxacillin | PO/IV | 96% | Renal | Not available in US |
| Property | Ampicillin | Amoxicillin |
|---|---|---|
| Oral absorption | 30-55% | 74-92% |
| Effect of food | Decreased | None |
| Preferred route | IV | Oral |
| Bioequivalence | — | Better than ampicillin |
Tip
For oral therapy, amoxicillin is almost always preferred
| Class | Gram+ | Gram- | Pseudomonas | Anaerobes | MRSA |
|---|---|---|---|---|---|
| Natural | +++ | - | - | ++ | - |
| Antistaphylococcal | ++ (Staph) | - | - | - | - |
| Aminopenicillins | ++ | + | - | ++ | - |
| Antipseudomonal | + | ++ | ++ | +++ | - |
| Penicillin | Absorption (%) | Food Effect |
|---|---|---|
| Penicillin V | 60 | None |
| Ampicillin | 30-55 | Decreased |
| Amoxicillin | 74-92 | None |
| Dicloxacillin | 37 | Decreased |
| Flucloxacillin | 44 | Decreased |
:::{style=“width: fit-content; margin: auto;”} ::: {.callout-tip} Amoxicillin has the best oral bioavailability ::: :::
| Condition | Penicillin G | Ampicillin |
|---|---|---|
| Normal meninges | <1% | <1% |
| Inflamed meninges | 5-10% | 13-14% |
Note
Inflammation is required for adequate CNS levels. As meningitis resolves, drug penetration decreases.
| CrCl (mL/min) | Adjustment Needed? |
|---|---|
| >50 | Usually no |
| 30-50 | Consider for some agents |
| 10-30 | Yes for most agents |
| <10 | Yes, significant reduction |
| Hemodialysis | Dose after dialysis |
| Agent | CrCl 10-29 | Hemodialysis |
|---|---|---|
| Penicillin G | 75% dose | Dose post-HD |
| Ampicillin | 0.5-2g q12h | 0.5-1g q12-24h |
| Amoxicillin | 500mg q12h | 500mg q12-24h |
| Piperacillin | 3g q8-12h | 3g q12h |
| Nafcillin | No change | No change |
Example: Piperacillin-tazobactam
| Traditional | Extended Infusion |
|---|---|
| 4.5g over 30 min q6h | 4.5g over 4 hours q8h |
| Higher peak, lower trough | Lower peak, higher trough |
| Less time above MIC | More time above MIC |
Tip
Extended infusion may improve outcomes, especially for organisms with higher MICs
| Type | Timing | Mechanism | Manifestations |
|---|---|---|---|
| Type I | Minutes-hours | IgE-mediated | Anaphylaxis, urticaria, angioedema |
| Type II | Days | Antibody-mediated | Hemolytic anemia, cytopenia |
| Type III | 1-3 weeks | Immune complex | Serum sickness, drug fever |
| Type IV | Days-weeks | T-cell mediated | Maculopapular rash, contact dermatitis |
Tip
De-labeling programs are safe and improve patient care
| Effect | Most Common With | Notes |
|---|---|---|
| Diarrhea | Ampicillin, amoxicillin-clav | Disruption of gut flora |
| C. difficile | All | Risk with any antibiotic |
| Neutropenia | Prolonged high-dose therapy | Reversible |
| Seizures | High-dose penicillin G | Especially in renal failure |
| Interstitial nephritis | Methicillin, nafcillin | Allergic mechanism |
Traditional (β-lactam)
Novel (non-β-lactam)
| Inhibitor | Partner | Formulations |
|---|---|---|
| Clavulanic acid | Amoxicillin | Oral, IV |
| Sulbactam | Ampicillin | IV |
| Tazobactam | Piperacillin | IV |
Inhibited:
NOT inhibited:
| Inhibitor | Partner | Unique Feature |
|---|---|---|
| Avibactam | Ceftazidime | Inhibits KPC, OXA-48, AmpC |
| Relebactam | Imipenem | Inhibits KPC, AmpC |
| Vaborbactam | Meropenem | Inhibits KPC, AmpC |
Important
None inhibit metallo-β-lactamases (NDM, VIM, IMP)
| Inhibitor | Class A | ESBLs | KPC | AmpC | MBLs | OXA-48 |
|---|---|---|---|---|---|---|
| Clavulanate | ✓ | ± | ✗ | ✗ | ✗ | ✗ |
| Tazobactam | ✓ | ± | ✗ | ✗ | ✗ | ✗ |
| Avibactam | ✓ | ✓ | ✓ | ✓ | ✗ | ✓ |
| Vaborbactam | ✓ | ✓ | ✓ | ✓ | ✗ | ✗ |
| Organism | Amp/Amox | Amox-Clav | Pip-Tazo |
|---|---|---|---|
| S. aureus (MSSA) | 16 | 1 | 1 |
| H. influenzae (BL+) | >16 | 0.5 | 0.06 |
| E. coli | >16 | 4 | 2 |
| K. pneumoniae | >16 | 2 | 4 |
| B. fragilis | >16 | 0.5 | 2 |
| P. aeruginosa | >16 | >16 | 4 |
Warning
In vitro activity does not guarantee clinical success
55-year-old man with cellulitis
What is the most appropriate oral therapy?
68-year-old woman with community-acquired pneumonia
What is the most appropriate oral therapy?
32-year-old woman with uncomplicated cystitis
What is the most appropriate therapy?
52-year-old man with perforated appendicitis
What is the most appropriate empiric therapy?
45-year-old man with S. aureus bacteremia
What is the most appropriate therapy?
Important
For MSSA, nafcillin/oxacillin are superior to vancomycin
22-year-old college student with meningitis
What is the most appropriate therapy?
28-year-old man with primary syphilis
What is the most appropriate management?
| Infection | First-Line Penicillin |
|---|---|
| Strep pharyngitis | Penicillin V |
| MSSA skin/soft tissue | Dicloxacillin |
| MSSA bacteremia/endocarditis | Nafcillin |
| CAP (outpatient, no comorbidity) | Amoxicillin |
| CAP (outpatient, with COPD) | Amoxicillin-clavulanate |
| Intra-abdominal infection | Piperacillin-tazobactam |
| Syphilis | Benzathine penicillin G |
| Listeria meningitis | Ampicillin |